Private
Astrofotografie
AstroVis Workshop
Equations
Linear
Quadratic
Geometry
Geo Bodies
Geo Transform
Statistics
Percentage
Financial
Quartiles
Probability
Linear Regression
Math Helpers
Fractions
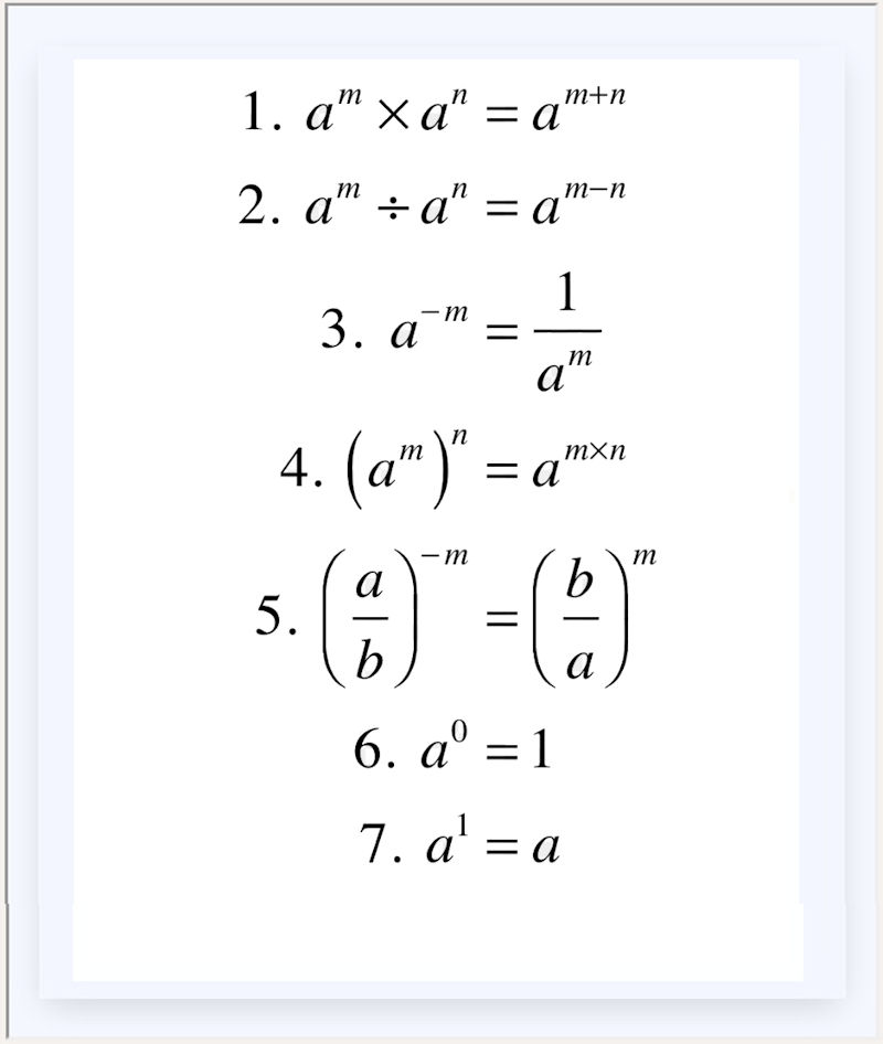
Exponents
LCM GCD
Factors
User
Login
Logout
Benutzer Profil
197
image calls
Copyright © 2009-2099
AstroVis
Web-Design by Horst Ziegler
Kontakt
Impressum
Datenschutz
AGB